What are you looking for?

Back to knowledge hubs

How do tillage, grazing and crop type affect soil carbon?

Back to knowledge hubs

How do tillage, grazing and crop type affect soil carbon?

Healthy, well-managed soils support productive and healthy crops and pasture and allows for a profitable and resilient farming system. The Carbon Assets for Soil Health (CASH) project pulled together data for a better understanding of how farming systems and practices affect soil carbon sequestration.

The results below are useful for farmers looking to maximise carbon sequestration through improved soil management, opening up better access to private finance for soil carbon.

In this project managed by Soil Association, 365 soil samples were taken from 105 different farms over the 2021 and 2022 cropping seasons. Soil samples were collected using a typical W-shape sampling method and sent off for lab analysis. Between two and five fields were sampled per farm. Five years’ worth of cropping and farm practices were also recorded from each field sampled to assess whether there was a correlation between farm practice and the amount of carbon found in the soil. 

 

Results

 

Soil Density and Soil Carbon Stocks

Bulk density is the weight of soil per unit of volume. High bulk density means compacted soil, restricted growth, less oxygen, less infiltration, and generally reduced soil health. Bulk density needs to be included in the measurement to calculate carbon stocks. 

The soil samples demonstrated a correlation between the soil density and organic carbon stocks, which supports existing research; the lower the soil density, the higher the carbon stocks. A conclusion from this could be the better the soil has been cared for i.e., mindful cultivation, not overstocking and not operating heavy machinery on the soil when it is wet, the healthier the soil and therefore the higher the organic carbon stocks. 

 

Figure 1. Correlation between Bulk Density and Soil Carbon Stocks

 

Crop Types and Organic Carbon Stocks 
  • Crops were categorised into:
  • Cereals (barley, wheat, oats)
  • Grass (permanent grassland and fallow)
  • Herbal Leys (multispecies grass mixes often part of countryside stewardship
  • Fruit, veg (a wide variety of plants including Strawberries, apples, beetroot)
  • Borage 
  • Maize (just corn)
  • Cover crop/Legume (Leguminous crops: Peas, beans, clover, lucerne, wild bird food)
  • Other brassica (oilseed rape and stubble turnips)
  • Mixed (a small including intercropped or undersown plants)

The graph below (figure 2) shows that grassland (both permanent and temporary), borage mixes and herbal leys had the highest carbon stocks, with maize being the worst.

 

Figure 2. Carbon storage by crop type

 

Cultivation and Organic Carbon Stocks

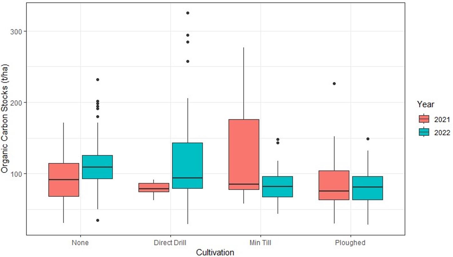
In the graph below, the category 'None' indicates undisturbed grassland. Direct Drilling entails some movement of soil for planting, and usually has a higher history of tillage. The results (figure 3) indicate that cultivation does not have a large impact on organic carbon stocks on these sample farms; nevertheless, ploughed fields and minimum tillage have the lowest levels of carbon as would be expected. Grassland which has not been cultivated often has the highest organic carbon levels.

The graph in figure 4 shows that carbon stocks increased between 2021 and 2022, primarily for uncultivated fields. This could be down to several factors including weather.

 

Figure 3. Carbon stocks under different soil management regimes

Figure 4. Carbon Stocks under different soil management across years

 

The below graph (figure 5) uses a scale of 0-1, where 0 is a field where the soil has not been disturbed over the last 5 years, and 1 is a field which has always been ploughed. The results clearly demonstrate that less tillage results in more organic carbon in the soil. Grasses and herbal leys were particularly correlated with higher carbon stocks. Carbon stocks are relatively resilient to changes in management and little may change in a single season. However, a greater intensity of cultivation across the five years studied in this project reduced the carbon stocks available.

Figure 5. Impact of cultivation history on carbon stocks

 

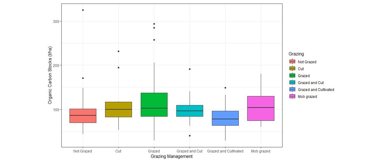
Grazing and Organic Carbon Stocks

The below graph demonstrates that grazing or cutting management generates more carbon storage than un-grazed arable areas. However, permanent pasture within the data set increases the carbon stocks overall within data for grass management. Mob grazing produced the most carbon organic stocks of all the grazing systems; this was a trend in the data but not statistically significant, so more data collection would be required to confirm this. 

 

Figure 6. Impact of grazing management on carbon stocks

   

Conclusion 

The results of this research have shown that soils with the most soil organic carbon have a good structure and are not compacted. They are grassland or herbal leys including borage. The less the soil is moved/cultivated the higher the soil organic carbon. If the crop is grassland, active management of grazing/cutting increases the carbon storage with the optimal management for organic carbon is being mob grazed.